
| 文献調査(発酵乳、腸内細菌の科学:研究の最前線) |
若く健康な人の自己申告による睡眠の質は腸内細菌叢の構成と関連している: パイロットスタディ |
Gregory J Grosicki et al., |
|
|
| 要約 |
目的:腸内細菌叢-腸管-脳軸は、心理的および生理的な健康状態を調節する重要な因子とし浮上しつつある複雑なコミュニケーションネットワークです。この分野における最近の先駆的な研究では、腸内細菌叢の構成と睡眠との間に関連性がある可能性が示唆されています。睡眠は進化的に保存された行動であり、健康に重要な役割を果たすことが実証されています。本研究は、若年健常者における自己申告による睡眠習慣と腸内細菌叢の構成との関係性を検討した初めての研究です。 |
| 方法:代謝性疾患または心血管疾患がなく、過去6ヶ月以内に睡眠薬または抗生物質を服用していない若年健常者28名(男性17名/女性11名、29.8±10.4歳)を本研究の対象としました。ピッツバーグ睡眠質指数(PSQI)を用いて得られた自己申告による睡眠の質と、微生物多様性(シャノン指数)、Firmicutes/Bacteroidetes(F/B)比、および特定の細菌分類群との関係を評価した。 |
| 結果:α多様性(r=−0.50)およびF/B比(r=−0.47)は、PSQIスコアと逆相関(P<0.05)を示した。10の細菌分類群がPSQIスコアと相関(P<0.05)しており、属レベルではBlautia(r=−0.57)、Ruminococcus(r=−0.39)、Prevotella(r=0.39)が認められた。 |
| 結論:若年健常者において、自己申告による睡眠の質は微生物多様性と正の相関を示した。また、睡眠の質とF/B比の間にも正の相関関係が認められました。これは、睡眠の質が優れていると報告した人では、BlautiaとRuminococcus(Firmicutes)の相対的な存在量が多く、Prevotella(Bacteroidetes)の割合が低いことが原因と考えられます。腸内細菌叢と睡眠のメカニズム的な関連性、そしてこの関係が健康に及ぼす影響を評価するための今後の研究が期待されます。 |
| ハイライト |
| ・若年健常者における自己申告による睡眠の質は、腸内細菌叢の構成と関連していた。 |
| ・自己申告による睡眠の質の良いことは、微生物多様性、FirmicutesとBacteroidetesの比、酪酸産生菌(BlautiaおよびRuminococcus)と正の相関関係にあった。 |
| ・自己申告による睡眠の質の悪いことは、Prevotellaと正の相関関係にあった。 |
| 目次(クリックして記事にアクセスできます) |
| 1.はじめに |
| 2.方法 |
| 2.1.参加者 |
| 2.2.睡眠の質の評価 |
| 2.3.腸内細菌叢解析 |
| 2.4.統計解析 |
| 3.結果 |
| 3.1.参加者の特徴 |
| 3.2.睡眠の質と腸内細菌叢変数の関係 |
| 4.考察 |
本文 |
| 1.はじめに |
| 腸内細菌叢は、ヒトの健康と疾患と密接に関連しています。腸と、骨格筋[1]、肝臓[2]、骨[3]、脳[4]など、多様な身体系との間の双方向コミュニケーション経路が提唱されています。腸-脳間クロストークは、神経系、ホルモン系、免疫系などの因子によって媒介されていると考えられており[5]、これらはすべて、非常に可塑性の高い腸内細菌叢の影響を受ける可能性があります[6]。腸内細菌叢-腸管-脳軸の関連性は、腸内細菌叢の調節不全と行動パターンの変化[7]、自閉症[8]、およびその他の心理的疾患状態[9、10]を関連付ける研究によって強調されています。これらの知見は、腸内細菌叢と精神的健康および幸福感の他の指標との関係性について、継続的な研究を促すものです。 |
| 睡眠は、気分を調整し、学習をサポートし、脳から代謝老廃物を除去する普遍的な生物学的ニーズです [11]。睡眠行動は恒常性と概日リズムによって制御されており、後者は腸内細菌叢の構成に関連しているようです [12–14]。たとえば、無菌マウスの概日遺伝子発現は、従来の方法で飼育されたマウスと比較すると著しく異なります [15]。これは、微生物代謝物(例:酪酸)を介した概日リズムの調整が原因である可能性があります。一方、マウスで4週間の睡眠断片化は、酪酸産生として知られるLachnospiraceaeとRuminococcaceaeの増殖を誘導します [16]。これは、睡眠不足で見られる循環炎症とインスリン抵抗性の上昇を軽減し [17]、および/または睡眠の質を回復するための代償的試みである可能性があります [18]。閉塞性睡眠時無呼吸症候群の患者において、短鎖脂肪酸(酪酸など)産生細菌の減少は、循環炎症およびホモシステイン濃度の上昇と関連している[19]。さらに、ヒト被験者における2晩の部分的睡眠不足は、Firmicutes/Bacteroidetes比の上昇と、代謝異常に関連する科レベルの微生物分類群の明確な変化を誘発した[20]。総合的に、これらの研究結果は、腸内細菌叢とその代謝産物と睡眠との間に重要な関係があることを示唆しており、炎症を制御し代謝の健康を促進する上でこの関係が明らかに重要であることを強調しています。 |
| 十分な睡眠をとることの健康への影響はますます認識されつつあるが、睡眠習慣と腸内細菌叢の関係についての包括的な理解は不足している。最近の観察研究では、自己申告による睡眠習慣 [21] と客観的に測定された睡眠習慣 [22] の両方と腸内細菌叢の特徴との関係が示唆されているものの、ラットやヒトにおいて、長期的な睡眠制限は細菌叢の構成に明白な影響を与えないことが実証されている [23]。腸内細菌叢と健常者の睡眠習慣の関係についての理解を深めるため、我々は、門から属レベルまで腸内細菌叢の多様性と微生物群集プロファイル、およびピッツバーグ睡眠品質指数 [24] を用いた 1 ヶ月間の自己申告による睡眠特性との関連性を調査した。我々は、主観的な睡眠の質の向上は、微生物多様性の向上および短鎖脂肪酸(酪酸など)産生細菌の増加に関連するという仮説を立てた。 |
| 2.方法 |
| 2.1.参加者 |
| ジョージア州チャタム郡在住の若年健常者28名(男性17名、女性11名)が解析対象となりました。糖尿病、高血圧(収縮期血圧140mmHg以上または拡張期血圧90mmHg以上)、心血管疾患(既往歴あり)、睡眠薬を服用している、または過去6ヶ月以内に抗生物質を使用したと報告している者は、本研究から除外しました。本研究はヘルシンキ宣言に基づき実施され、ジョージアサザン大学の倫理審査委員会の承認を得ました。 |
| 2.2.睡眠の質の評価 |
| 研究訪問当日、被験者は試験施設に到着し、身長と体重をそれぞれ壁掛け式身長計と校正済みデジタル体重計で評価しました。1ヶ月間の自己申告による睡眠習慣は、ピッツバーグ睡眠質指数(PSQI)[24]を用いて特徴付けられました。PSQIは、主観的睡眠の質、入眠潜時、睡眠時間、習慣的な睡眠効率、睡眠障害、睡眠薬の使用、日中の機能不全という7つの「構成要素」スコアを生成することで、睡眠の質を包括的に評価することを目的とした自己評価式質問票です。これらの各領域の構成要素スコアを合計することで、0から21までの総合PSQIスコアが生成されます。スコアが低いほど睡眠の質は良好であり、5を超えるスコアは睡眠の質が悪いことを示します[24]。 |
| 2.3.腸内細菌叢解析 |
| 便サンプルは、米国国立衛生研究所(NIH)ヒトマイクロバイオームプロジェクト[25]の仕様に従い、市販のキット(Ubiome Explorer、San Francisco, CA)を用いて自宅で自己採取した。排便後、滅菌綿棒を用いて少量の便を溶解・安定化緩衝液が入ったバイアルに移し、室温での輸送時に遺伝物質を保護する。サンプルはUbiome研究所(Ubiome、San Francisco, CA)(5)に送付され、ビーズビーティング法を用いて溶解後、クラス1000クリーンルームにおいて、液体ハンドリングロボットを用いてグアニジンチオシアネートシリカカラムを用いた精製法を用いてDNA抽出を行った。 16S rRNA遺伝子のPCR増幅は、V4領域を増幅するユニバーサルプライマー(515F:GTGCCAGCMGCCGCGGTAAおよび806R:G GACTACHVGGGTWTCTAAT)を含むプライマーを用いて実施した(7)。さらに、プライマーにはイルミナのタグとバーコードが含まれていた。サンプルは、複数のサンプルを同時に処理できるように、順方向インデックスと逆方向インデックスのユニークな組み合わせでバーコード化された。PCR産物はプールされ、カラム精製され、マイクロ流体DNA分画によってサイズ選択された(24)。統合されたライブラリーは、シーケンサーにロードする前に、BioRad MyioでKapa iCycler qPCRキット(Bio-Rad、Hercules, CA)を使用して定量的リアルタイムPCRによって定量された。シーケンスは、2×150 bpのペアエンドシーケンスをレンダリングするNextSeq 500プラットフォーム(Illumina、Sand Diego, CA)でペアエンド様式で実施された。これらの DNA 配列解析技術は、包括的な細菌分類プロファイルを提供するデータ出力 (.csv ファイル) を生成するために使用されました。 |
| 2.4.統計解析 |
| 対象となる細菌分類群は、それぞれの分類レベルにおいて、普遍性が75%以上(すなわち、28人中少なくとも21人で観察される)かつ平均相対存在量が2%以上であるものとして体系的に同定された。これらの普遍性と存在量のカットオフ値は、様々な生物の生息環境における主要な分類学的メンバーを列挙した本分野における先行研究[26]と類似している。シャノン多様性指数として算出されるアルファ多様性は、前述のように[27]算出され、Firmicutes/Bacteroidetes(F/B)比が算出された。腸内細菌叢およびPSQIデータの正規性は、箱ひげ図とシャピロ・ウィルクス検定を用いて検証された。睡眠時間正常者(PSQIスコア≦5)と睡眠不良者(PSQIスコア>5)[24]の参加者特性は、独立t検定を用いて比較された。次に、年齢、BMI、性別とマイクロバイオームデータとの関係を調査した。アルファ多様性、F/B比、および細菌分類群の相対的存在量と全体PSQIスコアとの関係は、正規分布データについてはピアソンの相関係数、非正規分布データについてはスピアマンの相関係数を用いて決定した。すべての統計検定はα=0.05の無方向性検定で実施した。解析はSPSS統計パッケージ(バージョン25、SPPS Inc.、IBM Company、ニューヨーク州アーモンク)を用いて実施した。 |
| 3.結果 |
| 3.1.参加者の特徴 |
| 28名の参加者(女性11名、男性17名)の平均年齢は29.8 ± 10.4歳、平均体重は76.4 ± 12.8 kgでした。BMI(Body mass index)は24.7 ± 3.0 kg/m²で、参加者間で比較的均一でした。2名は肥満(BMI ≥ 30 kg/m²)で、1名は低体重(BMI < 18.5 kg/m²)でした。PSQIスコアの平均は4.6 ± 2.8で、これは「正常」な睡眠の質を示す特徴です。表1は、睡眠の質が正常(PSQIスコア≦5、n = 19)および睡眠の質が不良(PSQIスコア>5、n = 9)の被験者の特性を比較したものである。年齢(P = 0.476)、体重(P = 0.659)、BMI(P = 0.673)において、両群間に有意差は認められなかった。睡眠の質が不良な被験者群における男性の割合(66.7%)は、睡眠の質が正常である被験者群における男性の割合(57.9%)と統計的に同等であった(P = 0.576)。予想通り、睡眠の質が悪いと自己申告した被験者群では、PSQIの総合スコアが有意に高かった(P < 0.001)。 |
| 表1.正常な睡眠者と睡眠障害のある人の特徴 |
![]() |
| BMI = ボディマス指数、PSQIスコア = ピッツバーグ睡眠品質指数。睡眠正常者 = PSQIスコア0~5、睡眠不良者 = PSQIスコア5超。 *睡眠不良者との比較でP<0.05。 |
| 3.2.睡眠の質と腸内細菌叢変数の関係 |
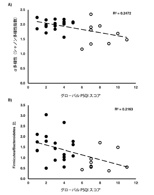
| 各分類レベルで包含基準を満たした細菌分類群の記述統計量を表2に示す。Proteobacteria (門)、Negativicutes(綱)、Prevotella (属)、Ruminococcus (属)の4つの分類群は非正規分布を示した。包含基準を満たす分類群の多様性、F/B比、または相対的存在量と、年齢(r= −0.368~0.070、P=0.054~0.723)、BMI(r= −0.265~0.244、P=0.172~0.211)、および性別(r= −0.229~0.302、P= 0.305~0.184)との間には有意な関連は認められなかった。多様性(r=−0.497、P=0.007)とF/B比(r=−0.466、P=0.013)はともに、全体PSQIスコアと逆相関していた(図1)。細菌の相対存在量と全体PSQIスコアとの相関分析(表2)の結果、10の有意な関係(P<0.05)が得られた。Prevotellaに特有なのは、平均相対存在量は包含基準を満たしていたものの、44.4%(n=12)は相対存在量が0.4%未満であったことである。Prevotellaの相対存在量が2%以上の被験者(n=16)では、Prevotellaの相対存在量が全体PSQIスコアの分散の25.6%を説明した(r=0.530、P=0.042)。 |
| 表2.選択された細菌分類群とピッツバーグ睡眠品質指数スコアとの二変量相関。 |
![]() |
*P<0.05; †スピアマン係数 |
![]() |
| 図1. 散布図は、ピッツバーグ睡眠品質指数(PSQI)のグローバルスコアと、A) α多様性(シャノン多様性指数)、およびB) Firmicutes/Bacteroidetes比との関連を示しています。黒い点はPSQIのグローバルスコアが0~5の「正常」睡眠者を表し、白い点はPSQIスコアが5を超える「悪い」睡眠者を表します[24]。トレンドラインはすべてのデータポイントを考慮しています。 |
| 4.考察 |
| 近年の研究では、脳機能の発達と維持における腸内細菌叢-腸管-脳軸の重要性が強調されている[4]。我々は、若年健常者を対象に、腸内細菌叢構成と自己申告による睡眠習慣との関連性について初めて検討を行った。我々の仮説と一致して、睡眠の質は細菌叢の多様性と正の相関関係にあり、これは、アクチグラフィーで測定した睡眠生理(例えば、睡眠時間や睡眠効率)と細菌叢の多様性との関連に関する最近の観察結果[22]を補完するものである。また、睡眠の質とF/B比の間にも正の相関関係が認められた。一方、Benedictらは、2晩の部分的な睡眠不足後にF/B比が上昇することを報告している[20]。PSQIは過去1ヶ月間の睡眠習慣を問うため、これらの対照的な結果は、睡眠誘発性細菌叢再構成の期間(すなわち、2日間 vs. 1ヶ月間)によって説明できる可能性がある。また、我々の仮説と一致して、酪酸産生菌であるBlautia属とRuminococcus属[28, 29]の相対的存在量は睡眠の質と正の相関関係にあった。これらの知見は、動物[12–14, 17]およびヒト[20, 21, 23]における蓄積されたエビデンスに新たな知見を加えるものであり、腸内細菌叢とその代謝物(例えば酪酸)と睡眠生理学との関連を示唆している。 |
| 健康な腸内細菌叢は、一般的に、強力な種の豊富さを示し、それが病気に対する防御をもたらすと理論づけられている特性であると考えられています[30]。実際、種の多様性の低さは腸内細菌叢のディスバイオーシス(腸内細菌異常)の顕著な特徴であり [31]、メタボリックシンドローム [32] や認知機能低下 [33] など、さまざまな臨床症状に関係しています。このような状況において、我々の研究や他の研究[22]における睡眠不足の人々の細菌多様性の減少は、健康を改善するために腸内細菌叢を有益に調節する手段としての睡眠療法の将来的な評価への推進力となる。一方、腸内細菌叢の操作は睡眠の質の改善にも役立つ可能性があり、これは Szentirmai らによる最近の優れた研究で観察されています。この研究では、酪酸のプロドラッグであるトリブチリンを経口投与したマウスの非急速眼球運動睡眠が 50% 増加したことが観察されています [18]。同様に、酪酸菌属である Blautia 属および Ruminococcus属 と睡眠の質の間にも正の相関関係が認められた。Firmicutes 門に属する Blautia 属と Ruminococcus属 はともに嫌気性グラム陽性微生物で、微生物発酵による短鎖脂肪酸の産生に関与する。肝硬変患者において、Blautia 属は良好な認知機能および炎症の軽減と関連している [34]。さらに、Blautia 属の存在量が多い臨床患者では急性移植片対宿主病による死亡率が低下する [35]。これはおそらく酪酸を介したサイトカインおよび炎症性タンパク質の転写阻害によるものである [36]。一方、クローン病患者における Ruminococcus属 の減少は炎症指標である C 反応性タンパク質レベルの上昇と関連している [29]。これらの結果を総合的に解釈すると、Blautia属 と Ruminoccocus 属には睡眠誘導作用と抗炎症作用の両方があることが示唆され、その両方が酪酸産生によって調整される可能性があります (図 2)。 |
![]() |
| 図2.睡眠の質が正常(PSQI 0~5)な人と睡眠の質が悪い(PSQI>5)人とで腸内細菌叢に違いがあることの、下流への影響の可能性を示した理論モデル [24]。睡眠の質が悪い人に比べて、睡眠の質が良い人の腸内細菌叢は、微生物の多様性が高く、F/B 比が高かった。属レベルでは、睡眠の質が良い人は、炎症の緩和に役立つ可能性のある酪酸菌属 Blautia と Ruminococcus の相対的豊富さが多かった。一方、睡眠の質が悪い人の腸内細菌叢は、エンドトキセミア(循環リポ多糖 [LPS] の増加)、分岐鎖アミノ酸(BCAA)の産生、代謝機能障害に関係する Prevotella の相対的豊富さが特徴であった。 |
| 睡眠の質は Blautia属 および Ruminococcus 属の相対的存在量の増加とおそらく有益な相関関係にあるが、急性 [20] および慢性 [17] の睡眠障害はともに腸内細菌構成に悪影響を及ぼし、インスリン抵抗性および全身性炎症を促進させることが示されている。睡眠不足を自覚した被験者における Prevotella 属の相対的存在量の増加は、この代謝表現型に寄与している可能性がある (図 2)。Prevotella属 はBacteroidetes門の嫌気性グラム陰性細菌で、呼吸器系の大部分を占めるため、一般に人体と共生していると考えられている [37]。しかし、HIV 感染者では、Prevotella属 の増加を特徴とする腸内細菌叢異常が細菌転座および内毒素血症を伴い、慢性の低度炎症の状態に至る [38, 39]。さらに、Prevotella属 の増加はヒトにおけるインスリン抵抗性 [40] や肥満 [41] と関連しており、これは Prevotella属 による分岐鎖アミノ酸の生合成 [42, 43] の結果である可能性がある。Blautia属 や Ruminococcus 属と同様に、Prevotella属 の増加はヒトにおける短鎖脂肪酸やコハク酸濃度と関連していることは注目に値する [44]。興味深いことに、コハク酸セミアルデヒド脱水素酵素欠損 (すなわち、γアミノ酪酸からコハク酸への変換を担う酵素) は、認知機能障害や睡眠障害と関連している [45]。これらの知見は、腸内細菌叢とその代謝物が睡眠の質の調節において重要な役割を果たしている可能性を示唆しており、睡眠不足の人におけるコハク酸産生 Prevotella属 の増加は、睡眠の健康を回復するための代償メカニズムである可能性を残している。 |
| 最近、健康な人の腸内細菌叢とアクチグラフィーによる睡眠指標との関連が観察されている[22]。我々は、主観的睡眠評価のゴールドスタンダードであるPSQI[24]を用いて、多くの重要な睡眠特性(例えば、睡眠時間、効率、睡眠の乱れ)を網羅する総合的な睡眠指標と腸内細菌叢との関係性を調査した。PSQIは高い内部均質性、内部一貫性、および再テスト信頼性を示すが、客観的なアクチグラフィーによる睡眠指標との相関は低い[46]。これは、PQSIが認知知覚の評価を通じて生物学的睡眠必要量の個人差を反映していることにより、少なくとも部分的に説明できる可能性がある[47]。Anderson らは、健康な高齢者において、PSQIスコア、腸内細菌叢の構成(Verrucomicrobia門およびLentisphaerae門)、および認知柔軟性との関連を観察し、加齢に伴う腸内細菌叢の乱れが睡眠不足と神経認知機能障害との機序的な関連である可能性があるという仮説を導きました[21]。本研究および他の研究[21, 22]で観察された睡眠の質と腸内細菌叢の構成との横断的関連は、より大規模で異質なサンプルで確認する価値があります。さらに、腸内細菌叢と主観的睡眠指標(例:PSQIおよび/または睡眠日誌)および客観的睡眠指標(例:アクティグラフィーおよび/または睡眠ポリグラフ)との関係性の臨床的意義を、健康な個人および臨床集団の両方で評価するための将来的な縦断的観察分析および/または介入研究が必要です。 |
| 要約すると、我々のデータは若く健康な人の自己申告による睡眠習慣と腸内細菌叢の構成との関連性を示した初めてのデータであり、その理論的意味合いは上で議論され、図 2 にまとめられている。我々の研究の限界としては、観察研究であること、比較的小規模なサンプル数であること、事前の心理的評価が行われていないこと、その他多くの重要な睡眠特性 (睡眠リズム、概日リズムの好みなど) を特徴づけられていないことなどがあげられる。とはいえ、優れた睡眠の質を報告した参加者で観察された微生物多様性の高さは、最近客観的に測定された (すなわち、アクティグラフィー) 睡眠の質に関する知見 [22] と一致している。我々はまた、睡眠の質と F/B 比の間に正の関連性があることを実証したが、これは主に、より良い睡眠の質を報告した人では Blautia および Ruminococcus (Firmicutes) の相対的存在量が多く、Prevotella (Bacteroidetes) の割合が低いことに起因している。これらの新たな腸内細菌叢と睡眠のプロファイルが睡眠習慣の原因なのか結果なのかは、私たちの横断的分析からは推測できませんが、今後調査する価値はあります。 |
参考文献(本文中の文献No.は原論文の文献No.と一致していますので、下記の論文名をクリックして、原論文に記載されている文献を参考にしてください) |
|
この文献は、Sleep Med. 2020 September ; 73: 76–81.に掲載されたSelf-Reported Sleep Quality Is Associated With Gut Microbiome Composition in Young, Healthy Individuals: A Pilot Study.を日本語に訳したものです。タイトルをクリックして原文を読むことが出来ます。 |